365英国上市官方网站罗丁副教授在能源领域顶级期刊《Energy》上发表了题为《Increasing waste heat recovery performance of a hexagonal thermoelectric generator with microchannels》的研究论文。罗丁副教授为第一作者,陈昊教授为通讯作者,365英国上市公司为第一署名单位和通讯单位。
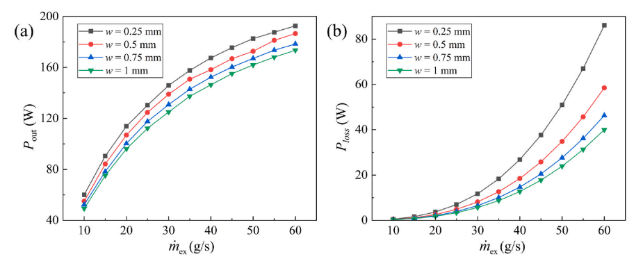
本研究针对六边形热电发电机(HTEG)在汽车尾气余热回收中存在的换热效率不足与背压损失较大等问题,创新性地提出了一种融合发散结构与微通道的新型翅片设计。基于流–热–电多物理场耦合数值模型,系统探讨了微通道间距与宽度等关键结构参数对热电性能的影响。结果表明:适度减小微通道间距可同时提升输出功率并降低压降;减小通道宽度有助于增强功率输出,但若过小则因背压损失增加而导致净功率下降。优化结果显示,当通道宽度与间距均为0.25 mm时,在质量流量低于40 g/s的范围内可实现最优净功率。在该参数配置下,新型翅片显著提升了换热效率与温度均匀性,并有效缓解了发散翅片引发的过大压降。与传统翅片相比,采用该结构的HTEG在输出功率、净功率、效率、净效率和温度均匀性方面的平均提升幅度分别达到17.01%、10.81%、6.41%、1.25%和2.58%。该研究为热电发电机换热结构的优化设计与工程应用提供了有力的理论支撑与实践参考。

图1新型六边形热电发电机结构图

图2微通道参数在不同尾气质量流量下对系统输出性能的影响
期刊介绍:《Energy》是能源领域的顶级期刊,影响因子9.4,中科院大类一区TOP期刊,内容主要涵盖能源、热科学以及机械工程等领域中具有突破性和多学科交叉性的应用技术研究成果。
论文信息:Luo D, Zhang H, Li Z, Zhang P, Chen H. Increasing waste heat recovery performance of a hexagonal thermoelectric generator with microchannels. Energy. 2025;334:137589.
论文链接:https://doi.org/10.1016/j.energy.2025.137589
(供图供稿:罗丁 审核:耿莉敏 倪凤英 编辑:韩啸)